CodingTest/Softeer 14

[softeer] 소프티어(파이썬): 징검다리2 ★★★★

문제 Softeer 제한시간 : C/C++(1초), Java/Python(2초) | 메모리 제한 : 256MB 남북으로 흐르는 개울에 동서로 징검다리가 놓여져 있다. 이 징검다리의 돌은 들쑥날쑥하여 높이가 모두 다르다. 이번에 철수는 개울의 softeer.ai 알고리즘 - bisect 모듈을 사용하여 문제를 수행한다. - 반복문을 통해 돌의 높이를 확인한다. - 앞과 뒤에서부터 돌의 높이를 확인한다. - 현재 확인하는 돌의 높이가 크면 리스트에 추가한다. - 현재 확인하는 돌의 높이가 작다면 리스트에 현재 돌의 높이의 인덱스를 초기화한다. - 돌을 밟은 개수를 리스트에 초기화한다. 코드 import sys import bisect n = int(sys.stdin.readline()) a = list(ma..

CodingTest/Softeer 2021.09.24

[softeer] 소프티어(파이썬): 동계 테스트 시점 예측★★★

문제 Softeer 제한시간 : C/C++(1초), Java/Python(2초) | 메모리 제한 : 128MB 입력형식 첫째 줄에는 격자 화면의 크기를 나타내는 두 개의 정수 N, M (5 ≤ N, M ≤ 100)이 주어진다. 그 다음 N개의 줄에는 격자 화면 위에 softeer.ai 알고리즘 - bfs 탐색을 통해 문제를 수행한다. - 상/하/좌/우를 탐색하고 탐색하는 곳이 얼음이면 방문 여부를 카운트한다. - 얼음이 아니고 탐색하지 않은 곳이라면 탐색한다. - 모든 공간을 한 번씩 탐색했다면 2번 탐색한 얼음을 녹여준다. - 위 과정을 모든 얼음이 녹을 때까지 반복해준다. 코드 import sys from collections import deque # bfs 탐색 def bfs(): dx = [1,..

CodingTest/Softeer 2021.09.24

[softeer] 소프티어(파이썬): 조립라인 ★★★

문제 Softeer 제한시간 : C/C++(1초), Java/Python(2초) | 메모리 제한 : 256MB 동일한 자동차를 생산하는 2개의 조립 라인 A와 B가 있다. 두 조립라인에는 각각 N개의 작업장이 있다. 각각의 작업장을 Ai (1 ≤ i ≤ N)와 Bi softeer.ai - 동일한 자동차를 생산하는 2개의 조립 라인 A와 B가 있다. - 두 조립라인에는 각각 N개의 작업장이 있다. - 각각의 작업장을 Ai (1 ≤ i ≤ N)와 Bi (1 ≤ i ≤ N)로 표시한다. - Ai 작업장과 Bi 작업장은 동일한 작업을 수행하지만 작업시간은 다를 수 있다. - Ai 작업장에서 Bi+1 작업장으로 혹은 Bi 작업장에서 Ai+1 작업장으로 반조립 제품의 이동이 가능하다. (이동시간이 추가됨) - 작업..

CodingTest/Softeer 2021.05.25

[softeer] 소프티어(파이썬): 장애물 인식 프로그램 ★★

문제 Softeer 제한시간 : C/C++(1초), Java/Python(2초) | 메모리 제한 : 128MB 입력형식 입력 값의 첫 번째 줄에는 지도의 크기 N(정사각형임으로 가로와 세로의 크기는 같으며 5≤N≤25)이 입력되고, 그 다음 N줄에는 각 softeer.ai - 정사각형 모양의 지도가 있는데 이 지도에는 1은 장애물이 있는 곳을, 0은 도로가 있는 곳을 나타낸다. - 지도에 연결된 장애물들의 모임인 블록을 정의하고, 블록에 번호를 붙이려고 한다. - 장애물은 좌우, 아래위로만 연결할 수 있고 대각선 상에 장애물은 연결할 수 없다. - 장애물 블록수를 구하고 각 블록에 속하는 장애물의 수를 오름차순으로 정렬하여 출력하는 문제이다. - 지도의 크기가 N(정사각형임으로 가로와 세로의 크기는 같다..

CodingTest/Softeer 2021.05.18

[softeer] 소프티어(파이썬): 8단 변속기 ★★

문제 Softeer 제한시간 : C/C++(1초), Java/Python(2초) | 메모리 제한 : 128MB 현대자동차에서는 부드럽고 빠른 변속이 가능한 8단 습식 DCT 변속기를 개발하여 N라인 고성능차에 적용하였다. 관련하여 SW 엔지니어인 당 softeer.ai - 변속기가 1단에서 8단으로 연속적으로 변속을 한다면 ascending을 출력한다. - 변속기가 8단에서 1단으로 연속적으로 변속을 한다면 descending을 출력한다. - 위 상황이 아니라면 mixed을 출력한다. - 변속한 순서가 주어졌을 때 어떤 것을 출력할 것인지를 구하는 문제이다. - 1부터 8까지 숫자가 한 번씩 등장하며 이 숫자는 변속 정도를 설명한다. 알고리즘 - 이 문제는 문제 설명과 같이 코드를 작성하면 된다. - 변..

CodingTest/Softeer 2021.05.18

[softeer] 소프티어(파이썬): 수퍼바이러스 ★★★

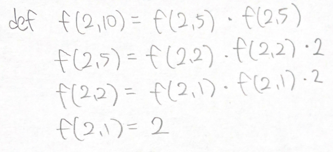
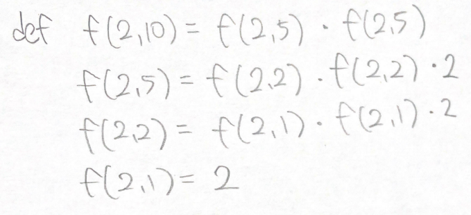
문제 Softeer 제한시간: C/C++(1초), Java/Python(2초) | 메모리 제한: 256MB 수퍼바이러스가 숙주의 몸속에서 0.1초당 P배씩 증가한다. 처음에 수퍼바이러스 K마리가 있었다면 N초 후에는 총 몇 마리의 수퍼바이러스로 softeer.ai - 수퍼바이러스는 0.1초당 P배씩 증가한다. - K마리가 있었다면 N초 후에는 총 몇 마리의 수퍼바이러스로 불어나는지를 구하는 문제이다. - N초 동안 죽는 수퍼바이러스는 없다. - 수퍼바이러스는 일반 바이러스보다 훨씬 오래 생존할 수 있어 N이 매우 클 수 있다. - 바이러스의 수가 K일때 1 ≤ K ≤ 10^8인 정수이다. - 증가율이 P일때 1 ≤ P ≤ 10^8인 정수이다. - 총 시간이 N일때 1 ≤ N ≤ 10^16인 정수이다. -..

CodingTest/Softeer 2021.05.17

[softeer] 소프티어(파이썬): 바이러스 ★★

문제 Softeer 제한시간 : C/C++(1초), Java/Python(2초) | 메모리 제한 : 256MB 바이러스가 숙주의 몸속에서 1초당 P배씩 증가한다. 처음에 바이러스 K마리가 있었다면 N초 후에는 총 몇 마리의 바이러스로 불어날까? N초 softeer.ai - 바이러스는 1초당 P배씩 증가한다. - K마리가 있었다면 N초 후에는 총 몇 마리의 바이러스로 불어나는지를 구하는 문제이다. - N초 동안 죽는 바이러스는 없다. - 바이러스의 수가 K일때 1 ≤ K ≤ 10^8인 정수이다. - 증가율이 P일때 1 ≤ P ≤ 10^8인 정수이다. - 총 시간이 N일때 1 ≤ N ≤ 10^6인 정수이다. - 최종 바이러스 개수를 1000000007로 나눈 나머지를 출력한다. 알고리즘 - 바이러스의 수, ..

CodingTest/Softeer 2021.05.17

[softeer] 소프티어(파이썬): H-클린알파 ★★★★

문제 Softeer 제한시간 : C/C++/Java/Python(1초) | 메모리 제한 : 256MB 나날이 심해지는 미세먼지로 인해 야외뿐만 아니라 집 안에서도 마음 놓을 수 없는 날이 계속되고 있다. 유해 물질이 창문 틈새로 새어 들어오 softeer.ai - 1초 간격으로 바이러스들이 집 안으로 침입한다. - 집 안에서 바이러스는 1초당 P배씩 증가한다. - N초동안 죽는 바이러스는 없다. - N초후에는 총 몇 마리의 바이러스를 잡아야 하는지를 구하는 문제이다. - 증가율이 P일때 1 ≤ P ≤ 10^8인 정수이다. - 총 시간이 N일때 1 ≤ N ≤ 10^6인 정수이다. - 매초 침입하는 바이러스의 수가 A일때 1 ≤ A ≤ 10^8인 정수이다. - 최종 바이러스 개수를 1000000007로 나눈..

CodingTest/Softeer 2021.05.16

[softeer] 소프티어(파이썬): 강의실 배정 ★★★

문제 Softeer 제한시간 : C/C++(1초), Java/Python(2초) | 메모리 제한 : 256MB 김교수는 강의실 1개에 최대한 많은 강의를 배정하려고 한다. 배정된 강의는 서로 겹치지 않아야 하며 수업시간의 길이와 상관없이 최대 softeer.ai - 강의실에 최대한 많은 강의를 배정하는 문제이다. - 배정된 강의는 서로 겹치지 않아야 한다. - 두 강의의 시작시간과 종료시간은 겹쳐도 된다. - 강의 개수가 N일때 1 ≤ N ≤ 10^6 인 정수이다. - 시작시간이 S, 종료시간이 F일때 1 ≤ S < F ≤ 10^9를 만족한다. 알고리즘 - 강의 수를 입력받는다. - 반복문을 통해 강의의 시작시간과 종료시간을 입력받는다. 이때, 힙큐를 통해 리스트에 넣는다. - 리스트를 힙큐를 통해 시작..

CodingTest/Softeer 2021.05.16

[softeer] 소프티어(파이썬): 우물 안 개구리 ★★★

문제 Softeer 제한시간: C/C++(1초), Java/Python(2초) | 메모리 제한: 256MB 헬스장에서 N명의 회원이 운동을 하고 있다. 각 회원은 1에서 N사이의 번호가 부여되어 있고, i번 회원이 들 수 있는 역기의 무게는 Wi이다. softeer.ai - 헬스장에는 N명의 회원이 있고 회원은 1부터 N사이의 번호가 부여된다. - I번 회원이 들 수 있는 역기의 무게는 W(i)이다. 즉, 자신의 번호와 같은 곳에 있는 역기를 들 수 있다. - 회원들 사이에는 M개의 친분 관계 (A, B)가 있다. (A, B)는 A회원과 B회원이 친분 관계임을 의미한다. - I번 회원은 자신과 친분관계가 있는 다른 회원보다 들 수 있는 역기의 무게가 무거우면 자신이 최고라고 생각한다. - 헬스장에서 자신..

CodingTest/Softeer 2021.05.16